Šta su saponini?
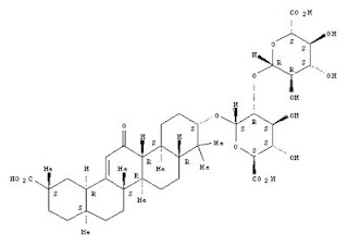
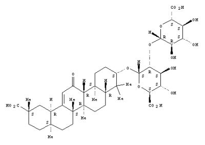
Saponini su triterpenski i steroidni glikozidi koji se u vodenoj otopini pjene poput sapuna (lat. sapo = sapun). Pri hidrolizi s kiselinama ili enzimima razlažu se na aglikon sapogenin i šećer.
Rasprostranjeni su u brojnim biljnim vrstama. Njihovo fungicidno djelovanje, kojim biljke štite od plijesni, vjerojatan je uzrok njihove općenite rasprostranjenosti. Triterpenski saponini česti su kod brojnih porodica dvosupnica. Steroidne saponine nalazimo kod suptropskih i tropskih jednosupnica, a kod dvosupnica samo u pusrikari (Digitalis) i piskavici (Trigonclla).
Zbog specifične građe molekula s izrazito hidrofilnim i hidrofobnim dijelom, saponini smanjuju površinsku napetost heterogenih sustava. Posljedice su pjenjenje, emulgiranje i dispergiranje. Više se ne koriste kao sredstva za pranje. Sapun iz sjemena divljeg kestena nekoć se koristio za pranje osjetljivih tkanina od svile i vune. Danas saponine koristimo u prehrambenoj industriji i kozmetici, kao emulgatore i stabilizatore.
Saponini djeluju hemolitički. Vežu se za proteine i lipide staničnih membrana eritrocita te ih oštećuju, tako da iz krvnih tjelešaca izlazi hemoglobin. Zbog hemolitičkog djelovanja, nikada ih ne koristimo intravenozno. Iznimka je escin, saponinski kompleks iz divljeg kestena. Pri unutarnjoj uporabi organizam saponine gotovo ne resorbira, ali se valja točno pridržavati preporučenih količina.
Farmakološko je djelovanje saponina višestruko. Olakšavaju iskašljavanje jer razrjeđuju gustu sluz. Istodobno podražuju i sluznice, pri čemu refleksno dolazi do povećanja produkcije sekreta iz žlijezda, kako u bronhijama tako i u probavnome traktu (jaglac, glatki sladić, sapunika, bršljan). Zbog podražavanja bubrežnog epitela pospješuju izlučivanje mokraće, a istodobno povećavaju diuretični učinak raznih flavonoiđa (zečji trn, preslica, zlatnica, divlja maćuhica, breza, divizma). Već je dugo poznato antibiotičko, antimikotičko i antivirusno djelovanje saponina, a osobito triterpenskih saponina iz sapunike, divizme, protivka i krivičice (Anagallis). Saponini divljega kestena i veprine sprječavaju nakupljanje tekućine u organizmu i djeluju na venozno ožilje. Saponini glatkog sladića djeluju protiv upala (antiflogistički) slično kao kortikoidi te djeluju kod virusnih oboljenja, osobito kod kroničnog hepatitisa. Saponini iz bršljana olakšavaju iskašljavanje i umiruju bronhijalne grčeve.
